Project Update July - December 2022

  In this issue:

New year, new name and structure for NZDFI, and launch of XyloGene.com

We are starting 2023 with a change our to name, from ‘New Zealand Dryland Forests Initiative’, to ‘New Zealand Dryland Forests Innovation’. We have also changed our by-line from ‘Breeding Tomorrow’s Trees Today’ to ‘Breeding durable heartwood’ along with the Māori translation ‘Whakatipu taikākā mauroa’.

These changes acknowledge that our project initiative has been successful: we have started commercial sales of our 1st generation of improved seedlings so growers can now establish new durable eucalypt forests with confidence that they are planting the best genetics available.

We have set up a separate commercial company, XyloGene/NZDFIP Ltd, to promote and sell our improved XyloGene nursery stock via our new web site XyloGene.com As sales increase, this will provide funds to ensure our research and development can continue. NZDFI’s ongoing research programmes will continue under the administration and management of the Marlborough Research Centre Trust.

Our new structure is shown below: we are excited about moving forward under this new framework.

Funding secured for Marlborough regional case study

Exciting news is that NZ Dryland Forests Innovation (NZDFI) has secured $262,300 from the Ministry of Primary Industry’s Sustainable Land Management and Climate Change fund (SLMACC) for a Marlborough regional case study.

The aims of this 18-month project, led by the School of Forestry are:

“to evaluate how new investment in planting naturally durable hardwood forests could contribute to sustainability and reduce greenhouse gas (GHG) emissions in Marlborough’s wine industry through a sustainable supply of naturally durable posts, timber and biomass for bioenergy.”

Research will focus on field measurement, LiDAR capture and destructive sampling of trees in seven of NZDFI’s Marlborough trials in order to research total tree biomass production. We are fortunate to have the support of the landowners on whose properties these trials are located.  Trees for biomass sampling have been selected and School of Forestry summer students started on this work before Christmas including using a drone for LiDAR data capture of each site.

Data collected will provide the basis for four property-based case studies that analyse the potential for durable eucalypts to deliver multiple benefits:

  1. carbon sequestration to offset landowner’s greenhouse gas emissions
  2. producing durable posts and poles for the local vineyard industry
  3. producing biomass for bioenergy, thereby providing a source of renewable energy.

The case studies will analyse the landowners’ GHG emissions and compare these with carbon sequestration by planting new forests of E. bosistoana and E. globoidea. They will inform the landowners the extent to which their agriculture businesses are net-negative, net-neutral or net-positive in GHG emissions.

The project will also assess the regional economic potential of a future hardwood supply chain based on 5,000 hectare wood supply catchment sustainably supplying naturally durable posts, timber and biomass for bioenergy, for Marlborough’s wine industry and other potential users. These new forests could diversify regional land use and wood supply, and support a sustainable bioeconomy.

Summer student crew get down to business

The core research element of the project is being led by Professor Euan Mason, UC School of Forestry, supported by Dr Vega Xu, SoF’s geo-spatial technology expert. Associate Professor Clemens Altaner will oversee the work to dry and test wood properties in the School of Forestry’s Wood Technology Centre. Prof Euan Mason, plus the summer student crew of James Burns, Alex Chamberlain, Thomas Copeland and Seb Lallemant, have been working hard to complete all the destructive sampling and measuring needed to achieve the aims of the project.

Bioenergy New Zealand Executive Officer Brian Cox will lead the bioenergy investigation for the project, including assessing Marlborough’s wine industry and other local industry energy needs and where biomass can most efficiently provide an alternative to existing energy sources.

MPI’s cash contribution of $262,300 to the total project cost of $387,500 is significant, with the balance of $10,000 cash from the Marlborough Research Centre Trust and a further $115,500 of in-kind co-funding from the University of Canterbury’s School of Forestry and the seven landowners who are supporting the project.

Read the full media release here.

⇑Top

Biomass sampling of 17-year-old E. globoidea, Pukaka Forest, Marlborough Regional Forests.

Sampling and measuring, Pukaka Forest, Marlborough Regional Forests.

Biomass sampling of E. bosistoana, Fleming property, Rangiora, North Canterbury.

Weighing logs, Pukaka Forest, Marlborough Regional Forests.

Ruth McConnochie recognised in recent Forest Grower Research awards

Congratulations to Ruth McConnochie, NZDFI’s latest award winner! Ruth is NZDFI’s long-serving  eucalypt specialist tree breeder, and she won the “Contribution to a Science Team’ award at the 2022 Forest Growers Research conference.  Ruth has been with NZDFI since its early days, and has played a pivotal role in designing, deploying and assessing NZDFI’s extensive trial network.

In 2021, NZDFI’s first generation of improved ‘XyloGene’ commercial nursery stock were planted, and demand for XyloGene stock has out-stripped supply in 2022 and 2023. These significant milestones were achieved thanks in no small part to Ruth’s contribution to the project over 13 years. In fact, we couldn’t have done it without her! Her expertise in this highly specialist field is combined with drive and determination. She is always willing to get out into the field, rain or shine, to work with others to put her knowledge into practice.

Thanks Ruth, your award is well-deserved!

⇑Top

Ruth inspects a recently planted trial in Marlborough.

NZDFI Permanent Sample Plot analysis: a critical part of our programme

One of the fundamental elements of a breeding programme is to establish and regularly measure permanent sample plots (PSPs) within trial plantings. NZDFI now has over 600 PSPs throughout its trial network.

NZDFI’s earliest demonstration trials were planted with 11 species, but from 2018 onwards this was reduced to six species and included comparative genetic seedlots and clones.

A comprehensive measurement programme overseen by Ruth McConnochie has been completed over the past two years, thanks to Specialty Wood Products Research Partnership (SWP) funding. Ruth’s overall objective is ‘to analyse and report on the performance of NZDFI species across varying environmental conditions and compare the long-term adaptability and productivity of each species’.  

Data from all PSPs i.e. across poor to top-performing sites has been validated and stratified. The next step is to use statistical analyses to assess species x site performance, identify and review failed sites and species, and produce a list of plots for on-going measurement. Ultimately the analysis will identify winners and losers and provide recommendations on what to plant where, equally, what NOT to plant.

Table 1: 2018 Demonstration Trial - NZ Redwood Company, Paparoa near Taumaranui. An example of a site level analysis using the data collected for trials planted with the NZ Redwood Company in September 2018. These PSPs were measured in January 2022 when the trees were 3.4 years old.

Species Class Age (years) Survival % DBH_All   (mm) DBH_Top 25% (mm) Height_All    (m) Height_Top 25% (m) MAIH_All (m) MAIH_Top 25% (m)
E. bos PFS 3.4 90.3 43.9 63.8 4.8 6.6 1.4 1.9
E. bos NFS 3.4 76.7 41.7 69.4 4.7 7.0 1.4 2.1
E. glob SSS 3.4 90.3 104.9 126.7 7.9 9.3 2.3 2.7
E. glob PFS 3.4 84.0 94.0 119.6 7.2 8.8 2.1 2.6
E. macr SSS 3.4 88.0 69.3 91.0 6.1 7.4 1.8 2.2
E. quad NFS 3.4 88.3 61.6 100.3 5.5 7.3 1.6 2.1

Note: ‘Class’ – relates to the class of germplasm in the planted material. More information can be found on NZDFI’s germplasm classification system can be found on the NZDFI website.

⇑Top

Eucalypt health research update

Eucalypt Health research is led by the School of Forestry’s Dr Steve Pawson, with two PhD students – Carolin Weser and Leslie Mann – working on different aspects of insect threats to durable eucalypts. Here we provide an update on Carolin and Leslie’s work, building on reports in the last Project Update.

Phenology and natural enemies of Parospsterna cloelia and Paropsis chayrbdis in Marlborough

Carolin has spent the first half of the summer in Marlborough, visiting NZDFI trials on contrasting sites (Lawsons and Dillons) and hunting down populations of the two main Paropsis browsing pests of E. bosistoana, Parospsterna cloelia and Paropsis chayrbdis.

She is undertaking a comparison between Pst. cloelia and P. charybdis at the two sites, assessing several parameters including:

  • Timing of different life stages
  • Presence and abundance of predators
  • Egg parasitism

Carolin has been seeking to identify natural predators of the different life stages of the paropsine pests from eggs, through larvae to beetles, and has captured some spectacular images during her field work. She was recently awarded a Highly Commended at the University of Canterbury Seeing Science photography competition  with her photo titled “This sucks!”. The photo shows a Schellenberg’s soldier bug (Oechalia schellenbergii) nymph feeding on larvae of the paropsine beetle Paropsisterna cloelia.

Carolin  is also the 2022 winner of the Future Foresters Scholarship awarded by the NZ Institute of Forestry Foundation. In addition to her field-based studies, Carolin is developing a highly specific molecular qPCR assay to identify the suite of predatory arthropod species that are feeding on Pst. cloelia and/or P. charybdis in the field by applying molecular methods. She plans to use the NZIF award of $10,000 for field trip expenses and consumables for molecular analysis (DNA extraction kits, reagents).

Carolin is the fourth consecutive NZDFI student to win this NZIF award, following in the footsteps of Daniel Boczniewicz, Leslie Mann, and Vikash Ghildiyal. Congratulations to all our high achievers!

A selection of Carolin's photos of eucalypt pests and their predators.

 

 

 

Searcing for insects, Dillon's trial site, Marlborough.

Shaking insects off trees using a stick and catching them on a beating tray to assess the seasonal presence and abundance of predatory arthropod species.

'This sucks!'. a Schellenberg’s soldier bug (Oechalia schellenbergii) nymph feeding on larvae of the paropsine beetle Paropsisterna cloelia.

Quantifying variation of Eucalyptus leaf chemistry with defoliation by paropsine beetles

Leslie Mann has been working with Steve Pawson on various aspects of eucalypt defoliation by paropsine pests. They have produced two SWP Technical Reports to date:

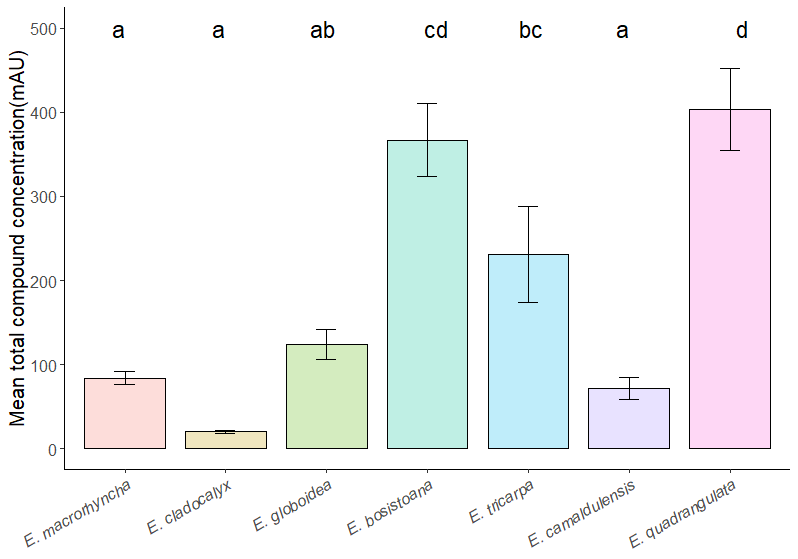
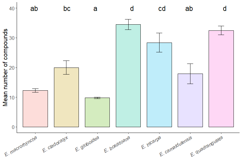
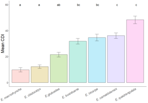
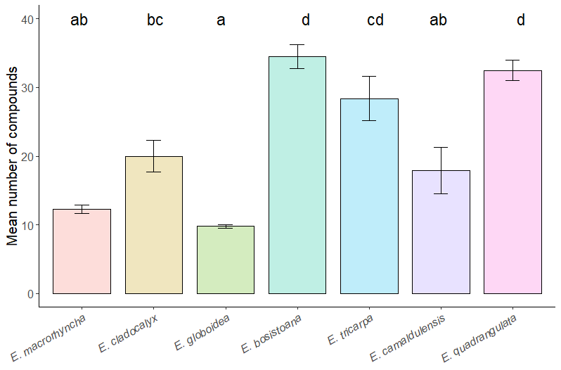
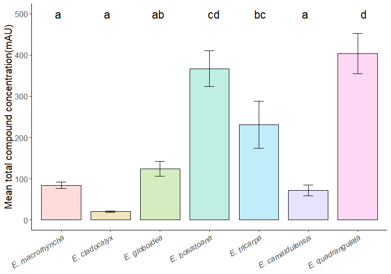
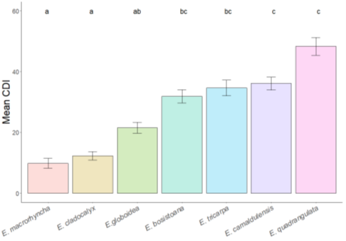
Part of Leslie’s work has been to successfully evaluate the potential for using LiDAR to measure defoliation. More recently, she has investigated paropsine preference for certain species’ foliage in relation to foliar chemistry. Some of the results are shown in the following graphs:

 

 

Leslie sampling trees at Dillons trial site.

 

Graph 1 ranks levels of insect damage to different NZDFI species; Graphs 2 and 3 show number and concentration of different chemicals in each species respectively, after leaves from 70 trees of seven different species were collected and the chemical compounds extracted.

Graph 4 shows how samples can be sorted (ordination) depending on their leaf compound similarities with each other. The distance between the samples represents their similarity e.g.: two samples close to each other have a similar leaf foliar chemistry. Two samples far apart have high foliar chemistry dissimilarity.

Conclusions from this element of Leslie’s research include:

  • E. cladocalyx has distinct leaf chemistry
  • E. machrorhyncha and E. globoidea are similar
  • E. quadrangulata is distinct.

Overall, Leslie has concluded that there is relationship between foliar chemistry and paropsine defoliation, and the two main Eucalyptus subgenuses – Eucalyptus and Symphomyrtus – have leaves with distinctly different foliar chemistry.

Leslie is planning to submit her thesis in February 2023, so we wish her luck in completing her PhD.

⇑Top

Genetic relatedness of Eucalyptus bosistoana

PhD candidate Seoljong Kim is making good progress on his research into the genetic relatedness within NZDFI’s breeding populations of E. bosistoana. Knowing precise relatedness between different E. bosistoana families is important for accurate estimates of genetic parameters such as heritability and genetic gain. This in turn will inform our future breeding strategies.

Relatedness can be described by the probabilities that two individuals share genetic components that are identical-by-descent.  For example, the relatedness of the two individuals at the bottom of this stylized breeding graphic can be described by the proportion of shared genetic component, shown as the ‘IBD’ (identity by descent) segment’, that has descended through several generations from their ancestors.

 

 

Seoljong has established from genetic analyses that we had inadvertently planted a small collection of E. melliodora families in our 2010 trials including at the MRC Cravens Road trial. This site is the home of one of our 2009 breeding populations of E. bosistoana. Seed was collected from the 2009 trees ten years after planting in 2019, and used to propagate seedlings planted into trials in 2021. These have produced some hybrid phenotypes. Knowing the genetic markers of the original families in our breeding populations means we can better understand the variation in relative performance both between families and the new hybrids.

⇑Top

Machinability of E. globoidea – results

In the last edition of Project Update, we reported on a project by Honours student Hamish Scown to evaluate the machinability of E. globoidea timber. Hamish has now successfully completed his Honours degree and left us with a very valuable piece of work.

Hamish used industry standard (ASTMD1666-17) to undertake six tests of the machinability of 28-year-old E. globoidea timber sourced from Banks Peninsula, and compared the results with the same tests on radiata pine. The radiata pine had an air-dry density of 460 kg/m3, compared to the E. globoidea’s 723 kg/m3.

The tests were: planing, sanding, shaping (edging and grooving), boring, mortising and turning.

In general, the E. globoidea machined very well. Machinability was scored at various points in each operation, with the only low machinability scores occurring at certain points in some tests – for example as the tool exited the wood when grooving, boring and mortising.

The only significant difference in the results between E. globoidea and radiata pine was in the sanding operation, where 120 grit sand paper became gummed up, resulting in the wood surface being burnt. The problem was solved by sanding to 0.5mm depth instead of 1.2 mm, and a ‘Grade 1’ finish was achieved with the second approach.

Key messages from the study:

  • E. globoidea machined equally well or better than P. radiata, although sanding required a lower setting than that used to sand radiata pine.
  • There is no need for radiata-based solid wood processors to invest in new machinery when working with E. globoidea
  • Optimising processing techniques can improve machinability scores for E. globoidea
  • Within-species density is not a strong predictor of machining quality within a species.

⇑Top

Specialty Wood Products on display at Mystery Creek Fieldays

A Specialty Wood Products display in the Forestry Hub at Fieldays in November 2022 generated a lot of interest and discussion. Visitors to the SWP stand were able to test the significant differences in weight and stiffness between E. bosistoana and radiata pine, and handle various products. These included samples of C. lusitanica and E. nitens thermally modified by Scion, some E. fastigata laminated veneer lumber samples manufactured by Juken NZ, and E. nitens flooring made by John Fairweather’s Specialty Timber Solutions.

Durable eucalypt display items included a magnificent E. globoidea CLT beam and a finely crafted Kubb game, both made at the School of Forestry.

The SWP stand was manned over the four-day event by Paul Millen, Marco Lausberg, Ruth McConnochie and Harriet Palmer. Thanks go to Clemens Altaner and Meike Holzenkaempfer for preparing the School of Forestry display items and organising their delivery to Mystery Creek.

 

⇑Top

 

 

 

Review of treated timber in New Zealand

Associate Professor Clemens Altaner has recently published a review of preservative treated timber in New Zealand: Preservative treated timber products in New Zealand.

The review “summarises the current knowledge about the health and environmental risks of CCA treated timber, revisits the risk assessment of New Zealand authorities of CCA treated timber and discusses the challenges New Zealand is facing from the continued use of this product.”

AProf Altaner leads NZDFI’s Science Team: the review makes for interesting reading for anyone interested in the environmental impacts of CCA treatment.

 

⇑Top

Final word from Paul

2022 was a significant year with many changes including our decision to start 2023 with a change to our name from 'Initiative' to 'Innovation' and to adopt our new by-line - Breeding durable heartwood/Whakatipu taikākā mauroa – which recognises our achievements after 14 years of tree breeding and research. These achievements have been made possible by the dedicated work of the researchers and students at the School of Forestry, our team based at the Marlborough Research Centre, the many landowners that host our trial network, and the Forest Growers Levy Trust, forestry companies, councils and other organisations that provide financial and in-kind support. It is this combination that makes NZDFI’s success possible. So thanks to you all and all the best for 2023.

In 2021 we had planted our first 1st generation E. globoidea seedlings into new trials including at the Upton’s property, ‘Rissington’ in Hawkes Bay. I visited there in November 2022 and at 14 months following planting there were saplings already over 3m tall with a 50+ mm DBH.

So it’s more trees like these that we want to get planted, and our new company and the XyloGene brand will help us to achieve this. We can now ensure the commercial supply of our improved seedlings to growers: already all of 2023’s seedlings are booked. If you want to make an enquiry for 2024, go to XyloGene.com

We are also very pleased to have been awarded the SLMACC funding. Marlborough is the home of the NZDFI: we started our work here in 2003 and the SLMACC project is another step towards building a regional bioeconomy by establishing regional forests to improve the sustainability of Marlborough’s wine industry in multiple ways.

Paul Millen

-------------------------------

Want to receive future Project Updates?

If you do not already receive our regular Project Updates, you can sign up here.

For more information about any of the work of the NZDFI, contact: info@nzdfi.org.nz

⇑Top

 

Paul Millen with one of the Rissington trial E. globoidea at age 14 months.